Ελλάδα
Η σημερινή ανακοίνωση του ΕΟΔΥ: «Τα νέα εργαστηριακά επιβεβαιωμένα κρούσματα της νόσου που καταγράφηκαν τις τελευταίες 24 ώρες είναι 1.608, εκ των οποίων 5 εντοπίστηκαν κατόπιν...
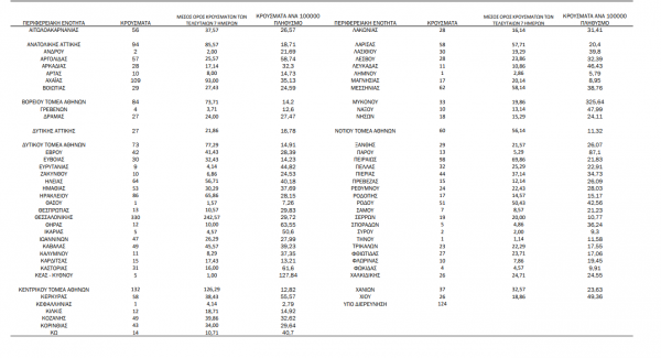
Από: verena - Στις: Mon, 09/13/2021 - 21:23
Η σημερινή ανακοίνωση του ΕΟΔΥ:Τα νέα εργαστηριακά επιβεβαιωμένα κρούσματα της νόσου που καταγράφηκαν τις τελευταίες 24 ώρες είναι 1.319 , εκ των οποίων 17 εντοπίστηκαν κατόπιν ...
Από: verena - Στις: Sun, 09/12/2021 - 20:00
Η σημερινή ανακοίνωση του ΕΟΔΥ: Τα νέα εργαστηριακά επιβεβαιωμένα κρούσματα της νόσου που καταγράφηκαν τις τελευταίες 24 ώρες είναι 2.197 , εκ των οποίων 15 εντοπίστηκαν κατόπιν...
Από: verena - Στις: Sat, 09/11/2021 - 19:08
Η σημερινή ανακοίνωση του ΕΟΔΥ: «Τα νέα εργαστηριακά επιβεβαιωμένα κρούσματα της νόσου που καταγράφηκαν τις τελευταίες 24 ώρες είναι 2.132, εκ των οποίων 18 εντοπίστηκαν ...
Από: verena - Στις: Fri, 09/10/2021 - 19:17
Η σημερινή ανακοίνωση του ΕΟΔΥ:«Τα νέα εργαστηριακά επιβεβαιωμένα κρούσματα της νόσου που καταγράφηκαν τις τελευταίες 24 ώρες είναι 2.170, εκ των οποίων 6 εντοπίστηκαν κατόπιν ...
Από: verena - Στις: Thu, 09/09/2021 - 18:38
Η σημερινή ανακοίνωση του ΕΟΔΥ: «Τα νέα εργαστηριακά επιβεβαιωμένα κρούσματα της νόσου που καταγράφηκαν τις τελευταίες 24 ώρες είναι 2.198, εκ των οποίων 16 εντοπίστηκαν ...
Από: verena - Στις: Wed, 09/08/2021 - 19:11
Η σημερινή ανακοίνωση του ΕΟΔΥ: «Τα νέα εργαστηριακά επιβεβαιωμένα κρούσματα της νόσου που καταγράφηκαν τις τελευταίες 24 ώρες είναι 2.807, εκ των οποίων 18 εντοπίστηκαν ...
Από: verena - Στις: Tue, 09/07/2021 - 17:59
Η σημερινή ανακοίνωση του ΕΟΔΥ: «Τα νέα εργαστηριακά επιβεβαιωμένα κρούσματα της νόσου που καταγράφηκαν τις τελευταίες 24 ώρες είναι 1.765 , εκ των οποίων 8 εντοπίστηκαν ...
Από: verena - Στις: Mon, 09/06/2021 - 19:10
Η σημερινή ανακοίνωση του ΕΟΔΥ: «τα νέα εργαστηριακά επιβεβαιωμένα κρούσματα της νόσου που καταγράφηκαν τις τελευταίες 24 ώρες είναι 1.291, εκ των οποίων 22 ...
Από: verena - Στις: Sun, 09/05/2021 - 18:50
H σημερινή ανακοίνωση του ΕΟΔΥ: Τα νέα εργαστηριακά επιβεβαιωμένα κρούσματα της νόσου που καταγράφηκαν τις τελευταίες 24 ώρες είναι 2.286, εκ των οποίων 13 εντοπίστηκαν ...
Από: verena - Στις: Sat, 09/04/2021 - 18:54
H σημερινή ανακοίνωση του ΕΟΔΥ: «Τα νέα εργαστηριακά επιβεβαιωμένα κρούσματα της νόσου που καταγράφηκαν τις τελευταίες 24 ώρες είναι 2.729, εκ των οποίων 13 εντοπίστηκαν κατόπιν...
Από: verena - Στις: Fri, 09/03/2021 - 18:31
Η σημερινή ανακοίνωση του ΕΟΔΥ: «Τα νέα εργαστηριακά επιβεβαιωμένα κρούσματα της νόσου που καταγράφηκαν τις τελευταίες 24 ώρες είναι 2.840, εκ των οποίων 10 εντοπίστηκαν ...
Από: verena - Στις: Thu, 09/02/2021 - 20:17
Η σημερινή ανακοίνωση του ΕΟΔΥ: Τα νέα εργαστηριακά επιβεβαιωμένα κρούσματα της νόσου που καταγράφηκαν τις τελευταίες 24 ώρες είναι 2.871, εκ των οποίων 9 εντοπίστηκαν κατόπιν ...
Από: verena - Στις: Wed, 09/01/2021 - 18:01
Τα νέα εργαστηριακά επιβεβαιωμένα κρούσματα της νόσου που καταγράφηκαν τις τελευταίες 24 ώρες είναι 3.628, εκ των οποίων 25 εντοπίστηκαν κατόπιν ελέγχων στις πύλες εισόδου ...
Από: verena - Στις: Tue, 08/31/2021 - 18:13
ΟΙ ΔΩΔΕΚΑΝΗΣΙΟΙ ΤΟΥ ΠΕΙΡΑΙΑ: ΟΙ ΑΚΡΙΤΕΣ ΝΗΣΙΩΤΕΣ ΣΤΟ ΜΕΓΑΛΟ ΛΙΜΑΝΙ
- Εσπεριδα ιστορικού χαρακτήρα με ομιλίες που απεικονίζουν τη ...
Από: verena - Στις: Tue, 08/31/2021 - 16:33
Η σημερινή ανακοίνωση του ΕΟΔΥ:«Τα νέα εργαστηριακά επιβεβαιωμένα κρούσματα της νόσου που καταγράφηκαν τις τελευταίες 24 ώρες είναι 2.343 , εκ των οποίων 24 εντοπίστηκαν ...
Από: verena - Στις: Mon, 08/30/2021 - 18:42
ΔΕΛΤΙΟ ΤΥΠΟΥ - ΠΡΟΣΚΛΗΣΗ ΕΚΔΗΛΩΣΗΣ ΕΝΔΙΑΦΕΡΟΝΤΟΣ ΓΙΑ ΕΝΤΑΞΗ ΣΤΟ ΜΗΤΡΩΟ ΑΠΟΓΡΑΦΕΩΝ ΤΗΣ ΑΠΟΓΡΑΦΗΣ ΠΛΗΘΥΣΜΟΥ-ΚΑΤΟΙΚΙΩΝ 2021
Η Ελληνική Στατιστική Αρχή (ΕΛΣΤΑΤ) καλεί τους ...
Από: verena - Στις: Mon, 08/30/2021 - 10:59
H σημερινή ανακοίνωση του ΕΟΔΥ: Τα νέα εργαστηριακά επιβεβαιωμένα κρούσματα της νόσου που καταγράφηκαν τις τελευταίες 24 ώρες είναι 1.582 , εκ των οποίων 15 εντοπίστηκαν ...
Από: verena - Στις: Sun, 08/29/2021 - 18:30
Η σημερινή ανακοίνωση του ΕΟΔΥ: Τα νέα εργαστηριακά επιβεβαιωμένα κρούσματα της νόσου που καταγράφηκαν τις τελευταίες 24 ώρες είναι 3.064 , εκ των οποίων 28 εντοπίστηκαν ...
Από: verena - Στις: Sat, 08/28/2021 - 18:22
Η σημερινή ανακοίνωση του ΕΟΔΥ:«Τα νέα εργαστηριακά επιβεβαιωμένα κρούσματα της νόσου που καταγράφηκαν τις τελευταίες 24 ώρες είναι 3.076, εκ των οποίων 22 εντοπίστηκαν ...
Από: verena - Στις: Fri, 08/27/2021 - 18:49
- « πρώτο
- ‹ προηγούμενο
- …
- 20
- 21
- 22
- …
- επόμενο ›
- τελευταίο »



