Ελλάδα
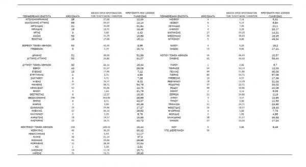
Η σημερινή ανακοίνωση του ΕΟΔΥ: Τα νέα εργαστηριακά επιβεβαιωμένα κρούσματα της νόσου που καταγράφηκαν τις τελευταίες 24 ώρες είναι 2.125, εκ των οποίων 7 εντοπίστηκαν κατόπιν ...
Από: verena - Στις: Thu, 09/23/2021 - 19:55
«Tα νέα εργαστηριακά επιβεβαιωμένα κρούσματα της νόσου που καταγράφηκαν τις τελευταίες 24 ώρες είναι 2.329, εκ των οποίων 9 εντοπίστηκαν κατόπιν ελέγχων στις πύλες εισόδου της ...
Από: verena - Στις: Wed, 09/22/2021 - 20:08
Η σημερινή ανακοίνωση του ΕΟΔΥ: «Τα νέα εργαστηριακά επιβεβαιωμένα κρούσματα της νόσου που καταγράφηκαν τις τελευταίες 24 ώρες είναι 3.040, εκ των οποίων 8 εντοπίστηκαν ...
Από: verena - Στις: Tue, 09/21/2021 - 18:55
H σημερινή ανακοίνωση του ΕΟΔΥ: «Τα νέα εργαστηριακά επιβεβαιωμένα κρούσματα της νόσου που καταγράφηκαν τις τελευταίες 24 ώρες είναι 2.126, εκ των οποίων 11 εντοπίστηκαν κατόπιν...
Από: verena - Στις: Mon, 09/20/2021 - 20:07
H σημερινή ανακοίνω ση του ΕΟΔΥ: Τα νέα εργαστηριακά επιβεβαιωμένα κρούσματα της νόσου που καταγράφηκαν τις τελευταίες 24 ώρες είναι 1.305 , εκ των οποίων 14 εντοπίστηκαν κατόπιν...
Από: verena - Στις: Sun, 09/19/2021 - 18:53
Τα νέα εργαστηριακά επιβεβαιωμένα κρούσματα της νόσου που καταγράφηκαν τις τελευταίες 24 ώρες είναι 2.190, εκ των οποίων 18 εντοπίστηκαν κατόπιν ελέγχων στις πύλες εισόδου ...
Από: verena - Στις: Sat, 09/18/2021 - 19:40
Η σημερινή ανακοίνωση του ΕΟΔΥ:«Τα νέα εργαστηριακά επιβεβαιωμένα κρούσματα της νόσου που καταγράφηκαν τις τελευταίες 24 ώρες είναι 2.255, εκ των οποίων 9 εντοπίστηκαν κατόπιν ...
Από: verena - Στις: Fri, 09/17/2021 - 18:35
Η σημερινή ανακοίνωση του ΕΟΔΥ:«Τα νέα εργαστηριακά επιβεβαιωμένα κρούσματα της νόσου που καταγράφηκαν τις τελευταίες 24 ώρες είναι 2.322, εκ των οποίων 11 εντοπίστηκαν κατόπιν...
Από: verena - Στις: Thu, 09/16/2021 - 19:23
ΟΙ ΔΩΔΕΚΑΝΗΣΙΟΙ ΤΟΥ ΠΕΙΡΑΙΑ: ΟΙ ΑΚΡΙΤΕΣ ΝΗΣΙΩΤΕΣ ΣΤΟ ΜΕΓΑΛΟ ΛΙΜΑΝΙ
- Εσπεριδα ιστορικού χαρακτήρα με ομιλίες που απεικονίζουν τη μακρόχρονη πορεία των ...
Από: verena - Στις: Wed, 09/15/2021 - 19:17
Τα νέα εργαστηριακά επιβεβαιωμένα κρούσματα της νόσου που καταγράφηκαν τις τελευταίες 24 ώρες είναι 2.422, εκ των οποίων 6 εντοπίστηκαν κατόπιν ελέγχων στις πύλες εισόδου της ...
Από: verena - Στις: Wed, 09/15/2021 - 18:55
Η σημερινή ανακοίνωση του ΕΟΔΥ: «Τα νέα εργαστηριακά επιβεβαιωμένα κρούσματα της νόσου που καταγράφηκαν τις τελευταίες 24 ώρες είναι 2.919, εκ των οποίων 10 εντοπίστηκαν ...
Από: verena - Στις: Tue, 09/14/2021 - 20:41
Η σημερινή ανακοίνωση του ΕΟΔΥ: «Τα νέα εργαστηριακά επιβεβαιωμένα κρούσματα της νόσου που καταγράφηκαν τις τελευταίες 24 ώρες είναι 1.608, εκ των οποίων 5 εντοπίστηκαν κατόπιν...
Από: verena - Στις: Mon, 09/13/2021 - 21:23
Η σημερινή ανακοίνωση του ΕΟΔΥ:Τα νέα εργαστηριακά επιβεβαιωμένα κρούσματα της νόσου που καταγράφηκαν τις τελευταίες 24 ώρες είναι 1.319 , εκ των οποίων 17 εντοπίστηκαν κατόπιν ...
Από: verena - Στις: Sun, 09/12/2021 - 20:00
Η σημερινή ανακοίνωση του ΕΟΔΥ: Τα νέα εργαστηριακά επιβεβαιωμένα κρούσματα της νόσου που καταγράφηκαν τις τελευταίες 24 ώρες είναι 2.197 , εκ των οποίων 15 εντοπίστηκαν κατόπιν...
Από: verena - Στις: Sat, 09/11/2021 - 19:08
Η σημερινή ανακοίνωση του ΕΟΔΥ: «Τα νέα εργαστηριακά επιβεβαιωμένα κρούσματα της νόσου που καταγράφηκαν τις τελευταίες 24 ώρες είναι 2.132, εκ των οποίων 18 εντοπίστηκαν ...
Από: verena - Στις: Fri, 09/10/2021 - 19:17
Η σημερινή ανακοίνωση του ΕΟΔΥ:«Τα νέα εργαστηριακά επιβεβαιωμένα κρούσματα της νόσου που καταγράφηκαν τις τελευταίες 24 ώρες είναι 2.170, εκ των οποίων 6 εντοπίστηκαν κατόπιν ...
Από: verena - Στις: Thu, 09/09/2021 - 18:38
Η σημερινή ανακοίνωση του ΕΟΔΥ: «Τα νέα εργαστηριακά επιβεβαιωμένα κρούσματα της νόσου που καταγράφηκαν τις τελευταίες 24 ώρες είναι 2.198, εκ των οποίων 16 εντοπίστηκαν ...
Από: verena - Στις: Wed, 09/08/2021 - 19:11
Η σημερινή ανακοίνωση του ΕΟΔΥ: «Τα νέα εργαστηριακά επιβεβαιωμένα κρούσματα της νόσου που καταγράφηκαν τις τελευταίες 24 ώρες είναι 2.807, εκ των οποίων 18 εντοπίστηκαν ...
Από: verena - Στις: Tue, 09/07/2021 - 17:59
Η σημερινή ανακοίνωση του ΕΟΔΥ: «Τα νέα εργαστηριακά επιβεβαιωμένα κρούσματα της νόσου που καταγράφηκαν τις τελευταίες 24 ώρες είναι 1.765 , εκ των οποίων 8 εντοπίστηκαν ...
Από: verena - Στις: Mon, 09/06/2021 - 19:10
Η σημερινή ανακοίνωση του ΕΟΔΥ: «τα νέα εργαστηριακά επιβεβαιωμένα κρούσματα της νόσου που καταγράφηκαν τις τελευταίες 24 ώρες είναι 1.291, εκ των οποίων 22 ...
Από: verena - Στις: Sun, 09/05/2021 - 18:50
- « πρώτο
- ‹ προηγούμενο
- …
- 19
- 20
- 21
- …
- επόμενο ›
- τελευταίο »



