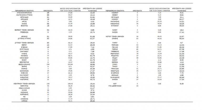
Τα νέα εργαστηριακά επιβεβαιωμένα κρούσματα της νόσου που καταγράφηκαν τις τελευταίες 24 ώρες είναι 2.190, εκ των οποίων 18 εντοπίστηκαν κατόπιν ελέγχων στις πύλες εισόδου της χώρας. Ο συνολικός αριθμός των κρουσμάτων ανέρχεται σε 629.498 (ημερήσια μεταβολή +0.3%), εκ των οποίων 51.0% άνδρες.
Με βάση τα επιβεβαιωμένα κρούσματα των τελευταίων 7 ημερών, 139 θεωρούνται σχετιζόμενα με ταξίδι από το εξωτερικό και 3.204 είναι σχετιζόμενα με ήδη γνωστό κρούσμα.
Οι νέοι θάνατοι ασθενών με COVID-19 είναι 37, ενώ από την έναρξη της επιδημίας έχουν καταγραφεί συνολικά 14.433 θάνατοι. Το 95.4% είχε υποκείμενο νόσημα ή/και ηλικία 70 ετών και άνω.
Ο αριθμός των ασθενών που νοσηλεύονται διασωληνωμένοι είναι 348 (64.7% άνδρες). Η διάμεση ηλικία τους είναι 64 έτη. To 80.5% έχει υποκείμενο νόσημα ή/και ηλικία 70 ετών και άνω. Μεταξύ των ασθενών που νοσηλεύονται διασωληνωμένοι, 320 (91.95%) είναι ανεμβολίαστοι ή μερικώς εμβολιασμένοι και 28 (8.05%) είναι πλήρως εμβολιασμένοι. Από την αρχή της πανδημίας έχουν εξέλθει από τις ΜΕΘ 3.086 ασθενείς.
Οι εισαγωγές νέων ασθενών Covid-19 στα νοσοκομεία της επικράτειας είναι 193 (ημερήσια μεταβολή +3.76%). Ο μέσος όρος εισαγωγών του επταημέρου είναι 202 ασθενείς.




