Ελλάδα
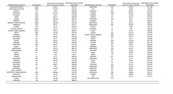
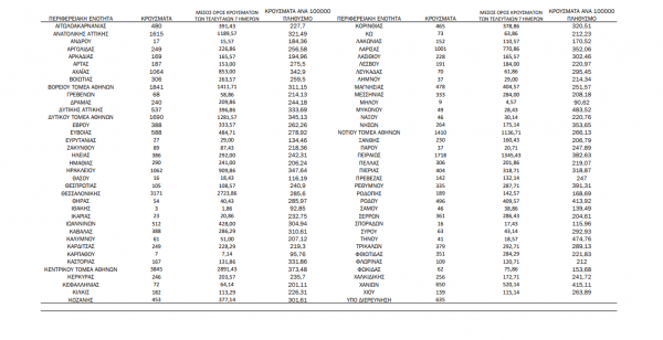
H σημερινή ανακοίνωση του ΕΟΔΥ: «τα νέα εργαστηριακά επιβεβαιωμένα κρούσματα της νόσου που καταγράφηκαν τις τελευταίες 24 ώρες είναι 10.783, εκ των οποίων 55 εντοπίστηκαν ...
Από: verena - Στις: Sun, 01/16/2022 - 18:06
Η σημερινή ανακοίνωση του ΕΟΔΥ: «τα νέα εργαστηριακά επιβεβαιωμένα κρούσματα της νόσου που καταγράφηκαν τις τελευταίες 24 ώρες είναι 17.447, εκ των οποίων 64 εντοπίστηκαν ...
Από: verena - Στις: Sat, 01/15/2022 - 21:17
H σημερινή ανακοίνωση του ΕΟΔΥ: Τα νέα εργαστηριακά επιβεβαιωμένα κρούσματα της νόσου που καταγράφηκαν τις τελευταίες 24 ώρες είναι 20.409, εκ των οποίων 50 εντοπίστηκαν ...
Από: verena - Στις: Thu, 01/13/2022 - 18:05
ΔΕΛΤΙΟ ΤΥΠΟΥ
Με την πρώτη για την καινούργια χρονιά και δεύτερη για την εκπαιδευτική χρονιά της Σχολής παρουσίαση του αφιερώματός μας με τίτλο "Το ...
Από: verena - Στις: Thu, 01/13/2022 - 13:59
H σημερινή ανακοίνωση του ΕΟΔΥ: Τα νέα εργαστηριακά επιβεβαιωμένα κρούσματα της νόσου που καταγράφηκαν τις τελευταίες 24 ώρες είναι 24.246, εκ των οποίων 68 εντοπίστηκαν ...
Από: verena - Στις: Wed, 01/12/2022 - 19:06
Η σημερινή ανακοίνωση του ΕΟΔΥ: «Τα νέα εργαστηριακά επιβεβαιωμένα κρούσματα της νόσου που καταγράφηκαν τις τελευταίες 24 ώρες είναι 32.694, εκ των οποίων 63 εντοπίστηκαν ...
Από: verena - Στις: Tue, 01/11/2022 - 18:07
H σημερινή ανακοίνωση του ΕΟΔΥ: Τα νέα εργαστηριακά επιβεβαιωμένα κρούσματα της νόσου που καταγράφηκαν τις τελευταίες 24 ώρες είναι 27.766, εκ των οποίων 85 εντοπίστηκαν ...
Από: verena - Στις: Mon, 01/10/2022 - 18:04
Η σημερινή ανακοίνωση του ΕΟΔΥ: Τα νέα εργαστηριακά επιβεβαιωμένα κρούσματα της νόσου που καταγράφηκαν τις τελευταίες 24 ώρες από τον ΕΟΔΥ είναι 18.592 , εκ των οποίων 97 ...
Από: verena - Στις: Sun, 01/09/2022 - 18:41
Η σημερινή ανακοίνωση του ΕΟΔΥ: «Τα νέα εργαστηριακά επιβεβαιωμένα κρούσματα της νόσου που καταγράφηκαν τις τελευταίες 24 ώρες είναι 37.676, εκ των οποίων 93 εντοπίστηκαν ...
Από: verena - Στις: Sat, 01/08/2022 - 19:02
H σημερινή ανακοίνωση του ΕΟΔΥ: «Τα νέα εργαστηριακά επιβεβαιωμένα κρούσματα της νόσου που καταγράφηκαν τις τελευταίες 24 ώρες είναι 29.334, εκ των οποίων 87 εντοπίστηκαν ...
Από: verena - Στις: Fri, 01/07/2022 - 18:54
Η σημερινή ανακοίνωση του ΕΟΔΥ: Τα νέα εργαστηριακά επιβεβαιωμένα κρούσματα της νόσου που καταγράφηκαν τις τελευταίες 24 ώρες είναι 33.716 , εκ των οποίων 76 εντοπίστηκαν ...
Από: verena - Στις: Thu, 01/06/2022 - 18:14
Η σημερινή ανακοίνωση του ΕΟΔΥ: «Τα νέα εργαστηριακά επιβεβαιωμένα κρούσματα της νόσου που καταγράφηκαν τις τελευταίες 24 ώρες είναι 43.386, εκ των οποίων 69 εντοπίστηκαν ...
Από: verena - Στις: Wed, 01/05/2022 - 18:14
Η σημερινή ανακοίνωση του ΕΟΔΥ: Τα νέα εργαστηριακά επιβεβαιωμένα κρούσματα της νόσου που καταγράφηκαν τις τελευταίες 24 ώρες είναι 50.126, εκ των οποίων 52 εντοπίστηκαν κατόπιν...
Από: verena - Στις: Tue, 01/04/2022 - 18:46
H σημερινή ανακοίνωση του ΕΟΔΥ: «τα νέα εργαστηριακά επιβεβαιωμένα κρούσματα της νόσου που καταγράφηκαν τις τελευταίες 24 ώρες είναι 36.246, εκ των οποίων 38 εντοπίστηκαν ...
Από: verena - Στις: Mon, 01/03/2022 - 18:10
Η σημερινή ανακοίνωση του ΕΟΔΥ: Τα νέα εργαστηριακά επιβεβαιωμένα κρούσματα της νόσου που καταγράφηκαν τις τελευταίες 24 ώρες είναι 17.633, εκ των οποίων 25 εντοπίστηκαν κατόπιν...
Από: verena - Στις: Sun, 01/02/2022 - 18:17
H σημερινή ανακοίνωση του ΕΟΔΥ: Τα νέα εργαστηριακά επιβεβαιωμένα κρούσματα της νόσου που καταγράφηκαν τις τελευταίες 24 ώρες είναι 30.010 , εκ των οποίων 20 εντοπίστηκαν ...
Από: verena - Στις: Sat, 01/01/2022 - 18:36
Η σημερινή ανακοίνωση του ΕΟΔΥ: «Τα νέα εργαστηριακά επιβεβαιωμένα κρούσματα της νόσου που καταγράφηκαν τις τελευταίες 24 ώρες είναι 40.560 , εκ των οποίων 32 εντοπίστηκαν ...
Από: verena - Στις: Fri, 12/31/2021 - 18:18
Η σημερινή ανακοίνωση του ΕΟΔΥ: «τα νέα εργαστηριακά επιβεβαιωμένα κρούσματα της νόσου που καταγράφηκαν τις τελευταίες 24 ώρες είναι 35.580, εκ των οποίων 32 εντοπίστηκαν ...
Από: verena - Στις: Thu, 12/30/2021 - 18:24
Η σημερινή ανακοίνωση του ΕΟΔΕ: «Τα νέα εργαστηριακά επιβεβαιωμένα κρούσματα της νόσου που καταγράφηκαν τις τελευταίες 24 ώρες είναι 28.828, εκ των οποίων 19 εντοπίστηκαν ...
Από: verena - Στις: Wed, 12/29/2021 - 18:47
H σημερινή ανακοίνωση του ΕΟΔΥ: «Τα νέα εργαστηριακά επιβεβαιωμένα κρούσματα της νόσου που καταγράφηκαν τις τελευταίες 24 ώρες είναι 21.657, εκ των οποίων 14 εντοπίστηκαν ...
Από: verena - Στις: Tue, 12/28/2021 - 18:08
- « πρώτο
- ‹ προηγούμενο
- …
- 13
- 14
- 15
- …
- επόμενο ›
- τελευταίο »



