Η σημερινή ανακοίνωση του ΕΟΔΥ: «Τα νέα εργαστηριακά επιβεβαιωμένα κρούσματα της νόσου που καταγράφηκαν τις τελευταίες 24 ώρες είναι 43.386, εκ των οποίων 69 εντοπίστηκαν κατόπιν ελέγχων στις πύλες εισόδου της χώρας.
Ο συνολικός αριθμός των κρουσμάτων ανέρχεται σε 1.388.309 (ημερήσια μεταβολή +3.2%), εκ των οποίων 50.1% άνδρες.
Με βάση τα επιβεβαιωμένα κρούσματα των τελευταίων 7 ημερών, 326 θεωρούνται σχετιζόμενα με ταξίδι από το εξωτερικό και 1.398 είναι σχετιζόμενα με ήδη γνωστό κρούσμα.
Οι νέοι θάνατοι ασθενών με COVID-19 είναι 62, ενώ από την έναρξη της επιδημίας έχουν καταγραφεί συνολικά 21.115 θάνατοι.
Το 95.1% είχε υποκείμενο νόσημα ή/και ηλικία 70 ετών και άνω.
Ο αριθμός των ασθενών που νοσηλεύονται διασωληνωμένοι είναι 628 (58.4% άνδρες).
Η διάμεση ηλικία τους είναι 64 έτη.
To 79.9% έχει υποκείμενο νόσημα ή/και ηλικία 70 ετών και άνω.
Μεταξύ των ασθενών που νοσηλεύονται διασωληνωμένοι, 532 (84.71%) είναι ανεμβολίαστοι ή μερικώς εμβολιασμένοι και 96 (15.29%) είναι πλήρως εμβολιασμένοι.
Από την αρχή της πανδημίας έχουν εξέλθει από τις ΜΕΘ 3.787 ασθενείς.
Οι εισαγωγές νέων ασθενών Covid-19 στα νοσοκομεία της επικράτειας είναι 641 (ημερήσια μεταβολή +41.81%).
Ο μέσος όρος εισαγωγών του επταημέρου είναι 462 ασθενείς.
Η διάμεση ηλικία των κρουσμάτων είναι 36 έτη (εύρος 0.2 έως 106 έτη), ενώ η διάμεση ηλικία των θανόντων είναι 78 έτη (εύρος 0.2 έως 106 έτη)».
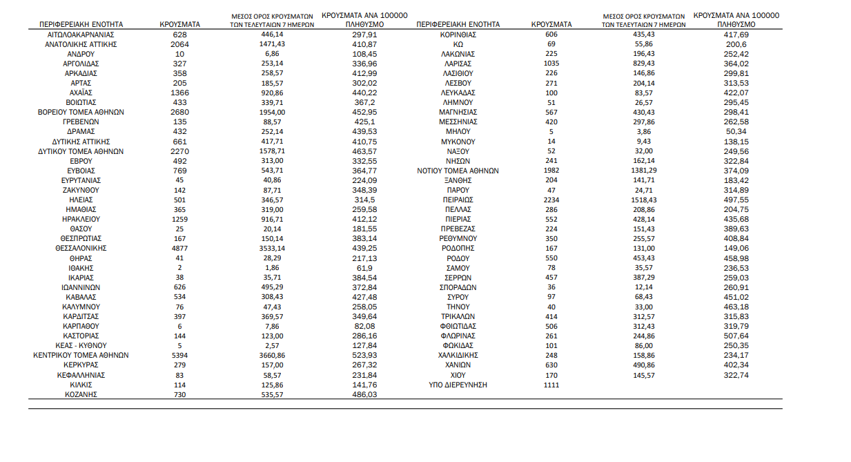
Κορονοιός 5/1/22: 43.386 νέα κρούσματα στη χώρα, 550 κρούσματα στην Π.Ε. Ρόδου, 76 στην Π.Ε. Καλύμνου, 69 στην Π.Ε. Κω, 6 στην Π.Ε. Καρπάθου




