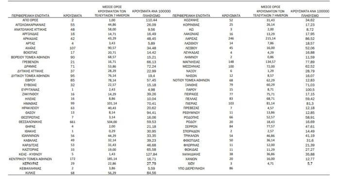
Η σημερινή ανακοίνωση του ΕΟΔΥ:« Τα νέα εργαστηριακά επιβεβαιωμένα κρούσματα της νόσου που καταγράφηκαν τις τελευταίες 24 ώρες είναι 3.643, εκ των οποίων 9 εντοπίστηκαν κατόπιν ελέγχων στις πύλες εισόδου της χώρας. Ο συνολικός αριθμός των κρουσμάτων ανέρχεται σε 734.778 (ημερήσια μεταβολή +0.5%), εκ των οποίων 50.8% άνδρες.
Με βάση τα επιβεβαιωμένα κρούσματα των τελευταίων 7 ημερών, 153 θεωρούνται σχετιζόμενα με ταξίδι από το εξωτερικό και 2.837 είναι σχετιζόμενα με ήδη γνωστό κρούσμα.
Οι νέοι θάνατοι ασθενών με COVID-19 είναι 55, ενώ από την έναρξη της επιδημίας έχουν καταγραφεί συνολικά 15.856 θάνατοι.
Το 95.4% είχε υποκείμενο νόσημα ή/και ηλικία 70 ετών και άνω.
Ο αριθμός των ασθενών που νοσηλεύονται διασωληνωμένοι είναι 392 (59.4% άνδρες).
Η διάμεση ηλικία τους είναι 65 έτη.
To 80.4% έχει υποκείμενο νόσημα ή/και ηλικία 70 ετών και άνω.
Μεταξύ των ασθενών που νοσηλεύονται διασωληνωμένοι, 337 (85.97%) είναι ανεμβολίαστοι ή μερικώς εμβολιασμένοι και 55 (14.03%) είναι πλήρως εμβολιασμένοι. Από την αρχή της πανδημίας έχουν εξέλθει από τις ΜΕΘ 3.303 ασθενείς.
Οι εισαγωγές νέων ασθενών Covid-19 στα νοσοκομεία της επικράτειας είναι 295 (ημερήσια μεταβολή +2.08%).
Ο μέσος όρος εισαγωγών του επταημέρου είναι 257 ασθενείς.
Η διάμεση ηλικία των κρουσμάτων είναι 39 έτη (εύρος 0.2 έως 106 έτη), ενώ η διάμεση ηλικία των θανόντων είναι 78 έτη (εύρος 0.2 έως 106 έτη)».
Κορονοιός 29/10/21: 20 νέα κρούσματα στη Π.Ε Ρόδου, 3 στην Π.Ε Κω




