H σημερινή ανακοίνωση του ΕΟΔΥ: Τα νέα εργαστηριακά επιβεβαιωμένα κρούσματα της νόσου που καταγράφηκαν τις τελευταίες 24 ώρες είναι 20.409, εκ των οποίων 50 εντοπίστηκαν κατόπιν ελέγχων στις πύλες εισόδου της χώρας.
Ο συνολικός αριθμός των κρουσμάτων ανέρχεται σε 1.612.869 (ημερήσια μεταβολή +1.3%), εκ των οποίων 49.9% άνδρες.
Με βάση τα επιβεβαιωμένα κρούσματα των τελευταίων 7 ημερών, 621 θεωρούνται σχετιζόμενα με ταξίδι από το εξωτερικό και 2.336 είναι σχετιζόμενα με ήδη γνωστό κρούσμα.
Οι νέοι θάνατοι ασθενών με COVID-19 είναι 80, ενώ από την έναρξη της επιδημίας έχουν καταγραφεί συνολικά 21.732 θάνατοι.
Το 95.0% είχε υποκείμενο νόσημα ή/και ηλικία 70 ετών και άνω.
Ο αριθμός των ασθενών που νοσηλεύονται διασωληνωμένοι είναι 664 (59.9% άνδρες). Η διάμεση ηλικία τους είναι 65 έτη. To 79.8% έχει υποκείμενο νόσημα ή/και ηλικία 70 ετών και άνω.
Μεταξύ των ασθενών που νοσηλεύονται διασωληνωμένοι, 554 (83.43%) είναι ανεμβολίαστοι ή μερικώς εμβολιασμένοι και 110 (16.57%) είναι πλήρως εμβολιασμένοι.
Από την αρχή της πανδημίας έχουν εξέλθει από τις ΜΕΘ 3.863 ασθενείς.
Οι εισαγωγές νέων ασθενών Covid-19 στα νοσοκομεία της επικράτειας είναι 587 (ημερήσια μεταβολή -10.24%). Ο μέσος όρος εισαγωγών του επταημέρου είναι 577 ασθενείς.
Η διάμεση ηλικία των κρουσμάτων είναι 36 έτη (εύρος 0.2 έως 106 έτη), ενώ η διάμεση ηλικία των θανόντων είναι 78 έτη (εύρος 0.2 έως 106 έτη).
Κατανομή ανακοινωθέντων εγχώριων κρουσμάτων: Από το σύνολο των 20.409 νέων κρουσμάτων του νέου ιού στη χώρα 70 είναι εισαγόμενα εκ των οποίων 50 εντοπίστηκαν κατόπιν ελέγχων στις πύλες εισόδου της χώρας.
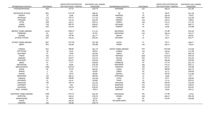
Η κατανομή των 20.339 νέων εγχώριων κρουσμάτων ανά Περιφερειακή Ενότητα παρουσιάζεται στον κατωτέρω πίνακα




