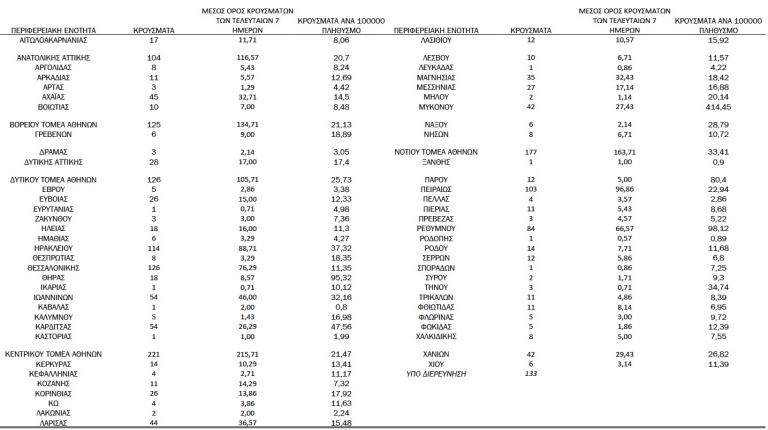
Κορονοιός 12/7/21: 14 νέα κρούσματα στην Π.Ε Ρόδου, 5 στην Π.Ε Καλύμνου, 4 στην Π.Ε Κω

H σημερινή ανακοίνωση του ΕΟΔΥ: Τα νέα εργαστηριακά επιβεβαιωμένα κρούσματα της νόσου που καταγράφηκαν τις τελευταίες 24 ώρες είναι 2.065, εκ των οποίων 12 εντοπίστηκαν κατόπιν ελέγχων στις πύλες εισόδου της χώρας. Ο συνολικός αριθμός των κρουσμάτων ανέρχεται σε 440.872 (ημερήσια μεταβολή +0.5%), εκ των οποίων 51.2% άνδρες.

Με βάση τα επιβεβαιωμένα κρούσματα των τελευταίων 7 ημερών, 156 θεωρούνται σχετιζόμενα με ταξίδι από το εξωτερικό και 1.874 είναι σχετιζόμενα με ήδη γνωστό κρούσμα.

Οι νέοι θάνατοι ασθενών με COVID-19 είναι 10, ενώ από την έναρξη της επιδημίας έχουν καταγραφεί συνολικά 12.802 θάνατοι. Το 95.2% είχε υποκείμενο νόσημα ή/και ηλικία 70 ετών και άνω.

Ο αριθμός των ασθενών που νοσηλεύονται διασωληνωμένοι είναι 139 (66.9% άνδρες). 

Φωτογραφικό υλικό

Προτάσεις Verena

Σε αυστηρό ύφος ο πρώην δήμαρχος Ρόδου Στάθης Κουσουρνάς απάντησε στον νυν Αλέξη Κολιάδη για τα όσα...
  Ψευδείς χαρακτηρίζει τις δηλώσεις του Αλεξάνδρου Κολιαδη, ο  πρόεδρος του Γ´...
Την έλλειψη νεφρολόγου και κέντρου αιμοκάθαρσης στο νοσοκομείο της Καρπάθου επισημαίνει σε επιστολή...
Αρχισαν τα...γαλλικά στο νέο δημοτικό συμβούλιο Ρόδου πολύ νωρίτερα απ ότι αναμενόταν!....Σε μια...