Ελλάδα
ΔΕΛΤΙΟ ΤΥΠΟΥ
- Ιδρύονται περιφερειακά ιατρεία στις έδρες αστυνομικών υπηρεσιών δεκατριών μεγάλων πόλεων της Χώρας
Θα καλύπτουν υγειονομικές ανάγκες του εν ...
Από: verena - Στις: Tue, 07/20/2021 - 11:27
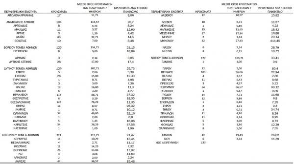
H σημερινή ανακοίνωση του ΕΟΔΥ: «Τα νέα εργαστηριακά επιβεβαιωμένα κρούσματα της νόσου που καταγράφηκαν τις τελευταίες 24 ώρες είναι 1.834, εκ των οποίων 14 εντοπίστηκαν κατόπιν...
Από: verena - Στις: Mon, 07/19/2021 - 18:17
H σημερινή ανακοίνωση του ΕΟΔΥ: «τα νέα εργαστηριακά επιβεβαιωμένα κρούσματα της νόσου που καταγράφηκαν τις τελευταίες 24 ώρες είναι 1.558, εκ των οποίων 11 εντοπίστηκαν κατόπιν...
Από: verena - Στις: Sun, 07/18/2021 - 19:48
H σημερινή ανακοίνωση του ΕΟΔΥ: «τα νέα εργαστηριακά επιβεβαιωμένα κρούσματα της νόσου που καταγράφηκαν τις τελευταίες 24 ώρες είναι 2.562, εκ των οποίων 8 εντοπίστηκαν ...
Από: verena - Στις: Sat, 07/17/2021 - 19:24
Κορονοιός 16/7/21: 37 νέα κρούσματα στην Π.Ε. Ρόδου, 17 κρούσματα στην Π.Ε. Κω, 7 στην Π.Ε. Καλύμνου
Η σημερινή ανακοίνωση του ΕΟΔΥ: Τα νέα εργαστηριακά επιβεβαιωμένα κρούσματα της νόσου που καταγράφηκαν τις τελευταίες 24 ώρες είναι 2.691, εκ των οποίων 11 ...
Από: verena - Στις: Fri, 07/16/2021 - 17:53
Η σημερινή ανακοίνωση του ΕΟΔΥ: Τα νέα εργαστηριακά επιβεβαιωμένα κρούσματα της νόσου που καταγράφηκαν τις τελευταίες 24 ώρες είναι 2.794, εκ των οποίων 7 εντοπίστηκαν κατόπιν ...
Από: verena - Στις: Thu, 07/15/2021 - 18:09
Η σημερινή ανακοίνωση του ΕΟΔΥ: «Τα νέα εργαστηριακά επιβεβαιωμένα κρούσματα της νόσου που καταγράφηκαν τις τελευταίες 24 ώρες είναι 2.938, εκ των οποίων 7 εντοπίστηκαν κατόπιν...
Από: verena - Στις: Wed, 07/14/2021 - 18:53
Η σημερινή ανακοίνωση του ΕΟΔΥ: «Τα νέα εργαστηριακά επιβεβαιωμένα κρούσματα της νόσου που καταγράφηκαν τις τελευταίες 24 ώρες είναι 3.109, εκ των οποίων 11 εντοπίστηκαν ...
Από: verena - Στις: Tue, 07/13/2021 - 18:22
ΔΕΛΤΙΟ ΤΥΠΟΥ-Τη δημιουργία, λειτουργία, ενημέρωση και συντήρηση της Βάσης Δεδομένων Ενεργών Σεισμικών Ρηγμάτων της χώρας αναλαμβάνει η ΕΑΓΜΕ
- Ένα μεγάλο ...
Από: verena - Στις: Mon, 07/12/2021 - 20:19
H σημερινή ανακοίνωση του ΕΟΔΥ: Τα νέα εργαστηριακά επιβεβαιωμένα κρούσματα της νόσου που καταγράφηκαν τις τελευταίες 24 ώρες είναι 2.065, εκ των οποίων 12 εντοπίστηκαν κατόπιν ...
Από: verena - Στις: Mon, 07/12/2021 - 20:05
Η σημερινή ανακοίνωση του ΕΟΔΥ: "Τα νέα εργαστηριακά επιβεβαιωμένα κρούσματα της νόσου που καταγράφηκαν τις τελευταίες 24 ώρες είναι 1.465, εκ των οποίων 11 εντοπίστηκαν κατόπιν...
Από: verena - Στις: Sun, 07/11/2021 - 17:55
Η σημερινή ανακοίνωση του ΕΟΔΥ: Τα νέα εργαστηριακά επιβεβαιωμένα κρούσματα της νόσου που καταγράφηκαν τις τελευταίες 24 ώρες είναι 2.327, εκ των οποίων 6 εντοπίστηκαν κατόπιν ...
Από: verena - Στις: Sat, 07/10/2021 - 19:01
H σημερινή ανακοίνωση του ΕΟΔΥ: «Τα νέα εργαστηριακά επιβεβαιωμένα κρούσματα της νόσου που καταγράφηκαν τις τελευταίες 24 ώρες είναι 1.997, εκ των οποίων 5 εντοπίστηκαν κατόπιν ...
Από: verena - Στις: Fri, 07/09/2021 - 18:40
«Τα νέα εργαστηριακά επιβεβαιωμένα κρούσματα της νόσου που καταγράφηκαν τις τελευταίες 24 ώρες είναι 2.107, εκ των οποίων 5 εντοπίστηκαν κατόπιν ελέγχων στις πύλες εισόδου της ...
Από: verena - Στις: Thu, 07/08/2021 - 18:21
H σημερινή ανακοίνωση του ΕΟΔΥ: «Τα νέα εργαστηριακά επιβεβαιωμένα κρούσματα της νόσου που καταγράφηκαν τις τελευταίες 24 ώρες είναι 1.820, εκ των οποίων 6 εντοπίστηκαν κατόπιν ...
Από: verena - Στις: Wed, 07/07/2021 - 21:34
«Τα νέα εργαστηριακά επιβεβαιωμένα κρούσματα της νόσου που καταγράφηκαν τις τελευταίες 24 ώρες είναι 1.797, εκ των οποίων 8 εντοπίστηκαν κατόπιν ελέγχων στις πύλες εισόδου ...
Από: verena - Στις: Tue, 07/06/2021 - 20:30
Η σημερινή ανακοίνωση του ΕΟΔΥ:Τα νέα εργαστηριακά επιβεβαιωμένα κρούσματα της νόσου που καταγράφηκαν τις τελευταίες 24 ώρες είναι 801, εκ των οποίων 4 ...
Από: verena - Στις: Mon, 07/05/2021 - 21:23
Τα νέα εργαστηριακά επιβεβαιωμένα κρούσματα της νόσου που καταγράφηκαν τις τελευταίες 24 ώρες είναι 619, εκ των οποίων 8 εντοπίστηκαν κατόπιν ελέγχων στις ...
Από: verena - Στις: Sun, 07/04/2021 - 18:10
H σημερινή ανακοίνωση του ΕΟΔΥ: Τα νέα εργαστηριακά επιβεβαιωμένα κρούσματα της νόσου που καταγράφηκαν τις τελευταίες 24 ώρες είναι 1.001, εκ των οποίων 7 εντοπίστηκαν ...
Από: verena - Στις: Sat, 07/03/2021 - 18:25
Η σημερινή ανακοίνωση του ΕΟΔΥ: Τα νέα εργαστηριακά επιβεβαιωμένα κρούσματα της νόσου που καταγράφηκαν τις τελευταίες 24 ώρες είναι 771, εκ των οποίων 4 εντοπίστηκαν κατόπιν ...
Από: verena - Στις: Fri, 07/02/2021 - 19:18
- « πρώτο
- ‹ προηγούμενο
- …
- 23
- 24
- 25
- …
- επόμενο ›
- τελευταίο »



